Контроль качества лекарственных средств, содержащих барбитураты
Содержание:
- Методом ТСХ выполняют испытание на наличие посторонних примесей в тиопентале-натрии (МФ). При испытание чистоты натриевых солей барбитуровой кислоты устанавливают предельное содержание примеси свободной щелочи, метилового спирта и др.
- Медицинская летопись: история возникновения барбитуратов
- Последствия от барбитуратов
- Лечение
- Барбитал – Методы и средства лечения болезней
- Противопоказания препарата
- Противопоказания
- Родственные примеси
- Воздействие фенобарбитала на организм
- Разновидности барбитуратов
- Можно ли бросить самостоятельно? Лечение зависимости
- Как определить зависимость?
- ФЕНОБАРБИТАЛ
- Как действуют барбитураты на организм
- Показания
- Маркетинг
- Особые указания
- Передозировка
- Барбитураты и передозировка
- Синтез
- Показания к применению
- Фармакология
- Применение в медицинских целях
- Виды барбитуратов
- Действие барбитуратов на человека
- История возникновения
Методом ТСХ выполняют испытание на наличие посторонних примесей в тиопентале-натрии (МФ). При испытание чистоты натриевых солей барбитуровой кислоты устанавливают предельное содержание примеси свободной щелочи, метилового спирта и др.
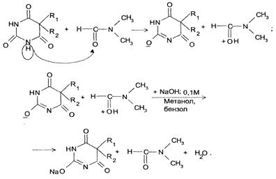
2.3 Общие методы количественного определения барбитуратов
Барбитураты количественно определяют методом нейтрализации в среде
неводных растворителей. Навески растворяют в нейтрализованном диметилформамиде
или смеси диметилформамида и бензола (барбитал). Диметилформамид используют в
качестве растворителя при титровании более сильных кислот (рКа 7,3-7,8),
например барбитала, фенобарбитала. Титруют 0,1 М раствором гидроксида натрия (в
смеси метанола и бензола), используя индикатор тимоловый синий Диметилформамид,
являясь основным растворителем, присоединяет протон, усиливая при этом
кислотные свойства барбитуратов.
При последующем титровании гидроксидом натрия выделяются диметилформамид,
вода и ион натрия. Последний с анионом барбитурата образует натриевую соль:

Для количественного определения барбитуратов, изолированных из
биологического материала животного происхождения (кровь, моча, внутренние
органы трупа), наиболее перспективным является спектрофотометрический метод.
Спектрофотометрический метод требует сравнительно высокой чистоты исследуемого
вещества. Такую степень чистоты обеспечивает хроматография в тонком слое
силикагеля КСК
Спектрофотометрическое определение барбитуратов основано на способности
барбитуратов к кето-энольной или амидоимидольной таутометрии: при рН 2,0 барбитурат
находится в растворе в виде кетонной (неионизированной) формы, не обладающей в
пределах длин волн (λ) 200-300 нм специфической абсорбцией. При рН
10,0 образуется моноимидольная форма, в гетероциклическом ядре возникает
двойная связь, способная к поглощению в ультрафиолетовой области спектра.
Поглощение наблюдается при λ = 240 нм. При рН 13,0 и выше в растворе
присутствует диимидольная форма с двумя двойными связями в кольце. Максимум
абсорбции наблюдается при λ=255-260 нм.
Для определения барбитуратов рекомендованы: методы прямого
спектрофотометрирования при рН 10,0 и λ = 240 нм и два варианта дифференциального
метода: при рН 10,0-рН 2,0 и λ = =239 нм при исследовании внутренних
органов трупа и при рН 13,0-рН 10,0 и λ = 260 нм при исследованиях крови и мочи.
Дифференциальные варианты спектрофотометрического определения дают более
надежные результаты, так как здесь в значительной степени исключается влияние
посторонних веществ, экстрагируемых хлороформом из кислого раствора вместе с
барбитуратами. Для расчета содержания барбитурата пользуются калибровочным
графиком или, что лучше, значениями удельного показателя поглощения. Удельный
показатель поглощения E11%CM вычисляется по формуле:
де D-оптическая плотность; ∆D>=ДрН10-ДрН2 или ДрН1З- ДрН10; С —
концентрация вещества в процентах; l — толщина поглощающего слоя в сантиметрах.
Отсюда
В сочетании с хроматографией спектрофотометрический метод является
достаточно специфичным, быстрым, чувствительным. Определяются микрограммовые
количества барбитуратов.
В. И. Попова на основе метода Маттесона и Гольта разработала
применительно к химико-токсикологическому анализу метод фотометрического
определения барбитала, фенобарбитала и барбамила. В основу методики положена
реакция барбитуратов с раствором ацетата кобальта в СН3ОН в присутствии
изопропиламина в СН3ОН. Определяются миллиграммовые количества перечисленных
барбитуратов.
Реакцию взаимодействия производных барбитуровой кислоты с ионом ртути
(II), в результате которой образуются нерастворимые в воде соединения,
используют для меркуриметрического определения, сочетая его с
комплексонометрией. Кислотные формы барбитуратов растворяют в этаноле,
натриевые соли — в воде, добавляют 10%-ный раствор ацетата натрия и избыток 0,1
М раствора нитрата ртути (II). Осадок барбитурата ртути (II) отфильтровывают, а
в фильтрате комплексонометрическим методом (титрант 0,05 М раствор трилона Б,
индикатор ксиленоловый оранжевый) в присутствии гексаметилентетрамина
оттитровывают избыток нитрата ртути (II).
Медицинская летопись: история возникновения барбитуратов
Впервые об этих препаратах в медицинских кругах заговорили в конце 19 века. Случилось это после того, как немецкий химик Адольф фон Байер в 1863 году синтезировал барбитуровую кислоту. Поскольку открытие пришлось на праздник святой Варвары (Барбары), ученый решил назвать новое вещество ее именем. Второй корень сложного слова он позаимствовал у англичан (urea с английского переводится как моча). Так появилось слово «барбитуровая», а вслед за ним и барбитураты.
Веронал — первый выпущенный барбитурат
В 1903 году барбитураты были выпущены на фармацевтический рынок. Первооткрывателем стал барбитал, известный многим пациентам, как веронал. К 20 годам 20 века было синтезировано уже около 2 500 барбитуратов. Из них около 50 разновидностей использовалось в медицинской практике в качестве снотворных и успокоительных.
Популярность препаратов росла, ведь многие люди жаловались на стресс, а эти медицинские средства могли выступать в качестве антидепрессантов. Однако в 60-е годы медики оказались лицом к лицу перед неутешительным фактом: наряду с положительными эффектами были обнаружены и негативные последствия употребления барбитуратов. Например, возникновение наркотической зависимости от препаратов.
Производство медикаментозных средств пошло на спад. Сегодня их используется не больше дюжины. Да и разрешенные препараты все чаще заменяются более безопасными разновидностями – бензодиазепинами.
Последствия от барбитуратов
Самостоятельный прием лекарственных средств чреват возникновением осложнений.
Вред для организма
Барбитуровая зависимость приводит к:
- Снижению интеллекта;
- Хронической усталости;
- Сонливости, слабости, снижению аппетита, и, следовательно, дистрофии;
- Изменениям привычек: человек становится скрытным, апатичным, теряет интерес к жизни;
- Возникают серьезные заболевания сердечно-сосудистой системы, частые инфекционные заболевания, появляются гнойнички на коже, землистый цвет лица и т.д.
Передозировка барбитуратами
Передозировка медикаментами приводит к угнетению сознания, дыхания, сердцебиения. Резко снижается давление, возникает риск летального исхода.
Отравление барбитуратами
При отравлении барбитуратами необходимо оказать срочную медицинскую помощь. Бригада наркологов промоет желудок пациенту, использует инфузионные растворы и симптоматические лекарственные средства.
Лечение
Самостоятельное лечение невозможно. Те, кто решает прекратить принимать барбитурат, сталкиваются с тем, что его основное свойство оборачивается против них. Отказ от противосудорожного вещества приводит к появлению припадков даже у тех, кто никогда не страдал эпилепсией. Что бы ни говорили на лурке, форумах по токсикологии и других онлайн-ресурсах, рисковать не стоит. Лучше обратиться в проверенный наркологический центр Краснодара.
Лечение происходит в пять этапов:
- Интервенция. Больные отрицают зависимость и из-за этого отказываются проходить лечение. На начальных этапах психологи проводят работу, цель которой — убедить пациента отказаться от употребления наркотиков и пройти лечение.
- Детоксикация. Выведение токсических веществ из организма.
- Стационар. Психологическая работа с бывшими зависимыми для последующей реинтеграции в общество.
- Амбулаторное. Продолжение психологической подготовки к реинтеграции, но при этом больной живет уже вне стационара.
- Реабилитация. Интеграция бывшего зависимого в общество.
Альтернативой медицинским барбитуратам являются бензодиазепины, не вызывающие столь тяжелой зависимости. Но тем, кто прошел реабилитацию после барбитуромании не рекомендуют употреблять подобные препараты в принципе.
Терапия должна проходить в специализированных наркологических клиниках, расположенных в Краснодаре и многих других городах, — только так детоксикация организма пройдет успешно и с минимальными для больного последствиями. Длительность лечения индивидуальна для каждого. Обязательное условие помощи — добровольность.
Барбитал – Методы и средства лечения болезней
В 1 таблетке диэтилбарбитуровой кислоты 250 или 500 мг.
Таблетки 0,5 г и 0,25 г (исключены из реестра лекарственных препаратов).
Порошок.
Фармакодинамика
Барбитал оказывает снотворное действие, вызывая глубокий сон, успокаивающее и незначительное миорелаксирующее действие. В терапевтических дозах не оказывает влияния на функцию дыхания и сердечную деятельность.
Вызывает глубокий сон, продолжающийся до 8 ч. В токсических дозах —угнетение сосудодвигательного и дыхательного центра, что приводит к гипоксии.
Применение как снотворного ограничено из-за негативного влияния на структуру сна — нарушает соотношение между «быстрой» и «медленной» фазой.
Показания к применению
Барбитал применяется при:
- психотическом возбуждении;
- бессоннице (при снижении продолжительности сна);
- головной и зубной боли;
- альгодисменорее;
- невралгии.
Барбитал может вызывать:
- слабость;
- головную боль;
- разбитость;
- тошноту и рвоту;
- лекарственную зависимость.
Барбитал, инструкция по применению (Способ и дозировка)
Барбитал назначают по 0,25-0,5 г за час до сна, запивая теплым молоком, что улучшает всасывание. Как успокаивающее средство — по 0,05-0,1 г дважды в день. Разовая доза — 0,5г. После 3 дней приема необходимо делать в 2 дня.
В период лечения контролируют функцию печени, состояние гемопоэза. Снижает уровень билирубина у новорожденных с гипербилирубинемией.
Передозировка
Передозировка проявляется поверхностным, прерывистым дыханием, угнетением сердечной деятельности, расширением зрачков, комой.
Взаимодействие
Сочетание с Анальгином, бромидами усиливает снотворное и анальгетическое действие. Амфетамин замедляет абсорбцию.
Снижает концентрацию и эффективность антибиотиков, ПАСК, сульфаниламидных препаратов, ГКС, сердечных гликозидов, Циклоспорина, Хинидина, Левотироксина, Парацетамола, непрямых антикоагулянтов, трициклических антидепрессантов, Циклофосфамида, Вальпроевой кислоты, Кофеина, Аминофиллина, Теофиллина. При применении с антидепрессантами, транквилизаторами, алкоголем повышается их активность и токсичность. Ослабление эффекта при приеме с аналептиками. Уменьшают снотворный эффект Атропин, Тиамин, экстракт красавки и Никотиновая кислота.
Совпадения по коду АТХ 4-го уровня:
Веронал, Барбетил, Этибарбитал, Дорманол, Барбитурал, Седивал.
Барбитал (или Веронал) — первый барбитурат, который с 1903 г применялся в медицинской практике как снотворное средство. Является барбитуратом длительного действия.
Вызываемый им сон отличается от естественного — изменяется структура сна, отмечается прерывистый сон, сопровождающийся обилием сновидений и кошмарами. После сна наблюдается продолжительная сонливость, отсутствие бодрости и разбитость.
Кроме того, обладает высокой токсичностью, имеется риск передозировки и возникновения физической зависимости. Этими негативными явлениями объясняется то, что многие барбитураты (в том числе и этот) в настоящее время исключены из реестра лекарственных средств. Согласно постановлению правительства РФ №78 от 2013г.
в список психотропных веществ, выпуск и оборот которых ограничен, включен и Барбитал. Как снотворные средства сегодня применяются истинные гипнотики — производные бензодиазепина, циклопиролонов и имидазопиридинов.
Цена, где купить
В настоящий момент приобрести Барбитал невозможно.
ОБРАТИТЕ ВНИМАНИЕ!Информация о лекарствах на сайте является справочно-обобщающей, собранной из общедоступных источников и не может служить основанием для принятия решения об использовании медикаментов в курсе лечения. Перед применением лекарственного препарата Барбитал обязательно проконсультируйтесь с лечащим врачом
Противопоказания препарата
Барбитал запрещено использовать в таких ситуациях:
- Сверхчувствительность,
- Проблемы с почками и печенью,
- Хронический алкоголизм,
- Проблемы с дыхательной системой,
- Сахарный диабет,
- Предрасположенность к появлению зависимости от лекарств,
- Беременность.
- Побочные действия.
К побочным действиям препарата относятся:
- вялость, депрессивные состояния и головные боли,
- тошнота и рвота,
- аллергическая реакция,
- трамбоцитопения.
Длительное применение препарата негативно влияет на общую структура сна. Нарушается течение фаз сна, возникают яркие или кошмарные сновидения, человек часто просыпается. Активно проявляется недостаток витамина С, синдром «отмены» или желтуха.
Противопоказания
Препарат запрещён к применению в таких ситуациях:
- Сверхчувствительность ко всем барбитуратам;
- Выраженная анемия;
- Заболевания, связанные с осложнениями дыхательных путей;
- Почечная или печёночная недостаточно;
- Хронический алкоголизм;
- Предрасположенность к лекарственной или наркотической зависимости;
- Беременность и кормление грудь;
- Диабет;
- Суицидальные наклонности или депрессия;
- Острая или постоянная боль.
Употребление фенобарбитала запрещено объединять с другими депрессантами или алкоголем. Комбинирование веществ может привести к чрезмерному усилению их эффекта и серьёзным осложнениям
Родственные примеси
Определение проводят методом тонкослойной хроматографии (ТСХ).
Испытуемый раствор. 0,1 г субстанции растворяют в 5 мл спирта 96 %.
| Раствор сравнения А. 0,5 мл испытуемого раствора разбавляют спиртом 96 % до 100 мл. |
Раствор сравнения Б. 25 мл раствора сравнения А разбавляют спиртом 96 % до 50 мл.
Раствор для проверки пригодности хроматографической системы.
15 мл раствора сравнения Б разбавляют спиртом 96 % до 25 мл.
Подвижная фаза. Готовят смесь: аммиака раствор концентрированный 25 % – спирт 96 % – хлороформ (5:15:80). Дают смеси отстояться до разделения слоев и в качестве элюента используют нижний слой.
Раствор используют свежеприготовленным.
На линию старта пластинки Силикагель 60 F254, предварительно промытой метанолом и высушенной при температуре от 80 до 85 °C в течение 7 мин, наносят по 10 мкл испытуемого раствора (200 мкг), раствора сравнения А (1 мкг), раствора сравнения Б (0,5 мкг) и раствора для проверки пригодности хроматографической системы (0,3 мкг). Пластинку с нанесенными пробами сушат в токе теплого воздуха в течение
5 мин, помещают в камеру с подвижной фазой и хроматографируют восходящим способом. Когда фронт подвижной фазы пройдет около 80 – 90 % длины пластинки от линии старта, ее вынимают из камеры и немедленно просматривают в УФ-свете при длине волны 254 нм. После этого пластинку опрыскивают дифенилкарбазон-ртутным реактивом, сушат в токе теплого воздуха в течение 5 мин и опрыскивают свежеприготовленным 0,66 % спиртовым раствором калия гидроксида. Пластинку нагревают при температуре от 100 до 105 °C в течение 5 мин и немедленно просматривают.
Любое дополнительное пятно на хроматограмме испытуемого раствора при просмотре в УФ-свете и после проявления не должно превышать по величине и интенсивности поглощения или окраски пятна на хроматограмме раствора сравнения А (не более 0,5 %).
Суммарное содержание примесей должно быть не более 0,75 %.
Хроматографическая система считается пригодной, если на хроматограмме раствора для проверки пригодности хроматографической системы четко видно пятно.
Воздействие фенобарбитала на организм
Препарат воздействуют на работу коры головного мозга, а также вызывает заторможенную работу таламуса, что приводит к оказанию седативно-снотворного эффекта. Противосудорожный эффект обеспечивается за счет уменьшения нейронной возбудимости, которая вызвана какими-нибудь психотропными медикаментами либо психическим расстройством человека.
Сон, который возникает при употреблении фенобарбитала, значительно отличается от здорового физиологического сна обычного человека. Сокращается фаза быстрого сна, и уменьшаются третий и четвёртый этап медленного сна. Полностью перестраивается структура сна. Эффект от снотворного развивается менее чем за час и стабильно держится в течении 8 часов, в некоторых случаях может достигать 12 часов. Эффект снижается спустя 2 недели после начала приёма.
В небольших дозах медикамент обеспечивает успокаивающий эффект и в сочетании со спазмолитическими веществами помогает при расстройствах нейровегетативного характера.
Гипнотические дозы фенобарбитала приводят к уменьшению интенсивности обмена веществ. Угнетающе влияют на основные центры терморегуляции, вследствие чего понижается температура человека.
Фенобарбитал практически сразу всасывается тонким кишечником после перорального применения. Время полувыведения из крови приблизительно составляет 80 часов, у детей и новорожденных этот показатель может превышать100 часов. Препарат равномерно распределяется по всем органам человека, также проникает в плаценту и грудное молоко. Фенобарбитал выводится из организма с помощью почек.
Разновидности барбитуратов
В фармакологии в зависимости от длительности воздействия насчитывают три разновидности.
Кратковременное действие для наркоза. Группа гексенолов. Вводимый раствор в вену для отключения сознания действует в пределах получаса.
Средняя продолжительность (барбамил). Используют при бессоннице или когда лечение проводят сном. Продолжительность 6-8 часов, хватает для нормального сна. Если у пациента обнаружен атеросклероз, когда повышается уровень холестерина, то приступ стенокардии снимает барбамил.
Длительное воздействие оказывает фенобарбитал. Необходимость применения обусловлена при лечении эпилепсии и снятии судорог. При наступлении конвульсий препарат вводят в вену. Суточная дозировка не должна превышать 30 мг.
Фенобарбитал употребляют люди зависимые, так как эффект от применения держится до 12 часов.
Можно ли бросить самостоятельно? Лечение зависимости
Если вовремя распознать человека с зависимостью от барбитуратов, то можно вывести его из подобного состояния. Основным средством лечения является полное прекращение использования любых препаратом из барбитуровой группы.
В то же время, резкое прекращения использования приводит к появлению абстинентного синдрома. У больного могут начаться судороги, тремор, значительная бессонница, лихорадка, депрессивное состояние, рвота и тошнота. В некоторых случаях резкий отказ от фенобарбитала может привести к коме.
Из-за данных причин, лечение наркозависимого проходит в стационаре под пристальным присмотром компетентных врачей. Дозы снижаются постепенно на протяжении длительного времени. Спустя две недели начинается заметное уменьшение влияния синдрома отмены, и пациент приходит в норму.
Полная реабилитация занимает намного больше времени, так как больному приходится справлять с депрессией и возникшим чувством вины, заново учиться получать удовольствие от жизни и налаживать социальные контакты.
Как определить зависимость?
Люди, начинавшие применять барбитураты в лечебных целях, обычно не осознают тот факт, что они стали зависимы от препарата
А между тем надо обратить внимание на симптомы, которые красноречиво свидетельствуют о привыкании организма. Так, признаками зависимости можно считать:
- Снижение физичесфй активности, работоспособности, затрудненная умственная деятельность, безразличие к окружающим под воздействием препарата.
- Нервозность и рассеянность, раздражительность и даже в легкой форме агрессивность после того, как действие барбитуратов закончилось.
- Плохое самочувствие, беспокойство и быстрая утомляемость, снижение веса при длительном употреблении препарата.
- Тошнота и рвота, боли в животе, плохой сон, потеря интереса к жизни и окружающему миру при резком отказе от препаратов.
В некоторых случаях примерно на 5 день после приема дозы возможны судороги.
Вообще при барбитуратомании абстинентный синдром намного сложнее, чем при применении опиатов. Он может вызывать признаки эпилепсии, кому, а в ряде случаев и смерть. Вот почему при отказе от препаратов лучше обратиться в медицинскую клинику. Там этот период пройдет менее болезненно, ведь зачастую первым этапом лечения является не отказ от препарата, а постепенное снижение дозы принимаемого раньше средства.
Усталость, плохое самочувствие, раздражительность? Это признаки, показывающие зависимость от барбитурата при попытке отмены
ФЕНОБАРБИТАЛ
Снотворный и седативный препарат. Противосудорожное средство
Форма выпуска, состав и упаковка
| Таблетки | 1 таб. |
| фенобарбитал | 50 мг |
6 шт. – упаковки безъячейковые контурные.10 шт. – упаковки ячейковые контурные (1) – пачки картонные.10 шт. – упаковки ячейковые контурные (2) – пачки картонные.
6 шт. – упаковки безъячейковые контурные (1000) – коробки картонные.
Дозировка
Внутрь.
Для взрослых:
— нарушениясна: 100-200 мг за 0.5-1 ч до сна.
— в качестве седативного лекарственного средства: 50 мг 2-3 раза/сут.
— в качестве противосудорожного средства: 50-100 мг 2 раза/сут.
При снижении функции печени следует назначать в меньших дозах.
Со стороны органов кроветворения: агранулоцитоз, мегалобластная анемия, тромбоцитопения.
Аллергические реакции: кожная сыпь, крапивница, отечность век, лица и губ, затрудненное дыхание; редко – эксфолиативный дерматит, злокачественная экссудативная эритема (синдром Стивенса-Джонсона).
Прочие: при длительном применении – лекарственная зависимость.
Как действуют барбитураты на организм
Статистика утверждает, что эти средства обычно выбирают люди, склонные к суициду. Пришлись барбитураты по вкусу и тем, у кого занижена самооценка. Они не вызывают эйфории, как опиаты. Наоборот, для них характерен псевдоздоровый сон. Зачастую их применяют именно из-за этого.
Эффект от употребления этих препаратов во многом зависит от дозы. Так, небольшое количество наркотика практически безобидно. Он способствует расслаблению и успокаивает нервную систему.
Средние дозы аналогичны воздействию алкоголя на организм. У наркомана замедляются рефлексы, возникает нетвердая походка. Он начинает невнятно произносить слова. А вот употребление барбитуратов в больших дозах запросто может привести к летальному исходу. Часто наркоман в таких случаях впадает в кому.
Показания
Противоэпилептический противосудорожный препарат. Купирует генерализованные тоникоклонические припадки, а также фокальные приступы. Эффективен при терапии хореи, спастических параличей, иных судорожных реакций. В качестве успокоительного при нейроветегативных расстройствах применяется в малых дозировках в комбинации с другими лекарственными фармсредствами – спазмалгетиками, сосудорасширяющими средствами. Также может выступать в качестве снотворного.
Применяют при лечении гипербилирубинемии, в том числе врожденной негемолитической неконъюгированной гипербилирубинемии, спазмах артерий периферии, напряжении, тревожности, страхов и фобий, треморе, абстинентном синдроме, энцефалите вследствие гриппа, кори, краснухи, ветрянки, коклюша, мононуклеоза.
Маркетинг
Бутылка для кристаллов «Веронал», названная в честь итальянского города Верона, была первым коммерчески доступным барбитуратом, произведенным компанией Bayer.
Барбитал был продан в 1904 г. Байер компания как «Веронал». Растворимая соль барбитала продавалась Шеринг компания как «Мединал». Он был выдан за «бессонница вызвано нервной возбудимостью ».[ненадежный источник?] Он был предоставлен либо в кристаллической форме, либо в облатках (капсулах). Терапевтическая доза составляла от десяти до пятнадцати. зерна (0.6-1 граммы). Смертельная доза — от 3,5 до 4,4 граммов (от 55 до 68 гран), но сон также продлился до десяти дней с выздоровлением.
Особые указания
У некоторых пациентов отмечено появление суицидальных идей и поведения в период лечения противоэпилептическими препаратами. Механизм их возникновения неизвестен, однако не исключается возможность их возникновения и во время терапии Фенобарбиталом, поэтому пациенты и их сиделки должны быть проинформированы о том, что при появлении любых суицидальных мыслей и поведения необходимо обращаться к врачу.
При развитии любых аллергических реакций и дерматологических осложнений прием препарата следует прекратить.
В период лечения препаратом необходимо контролировать функции почек и печени, а также общий анализ крови.
У пожилых и ослабленных пациентов при применении Фенобарбитала в обычных дозах могут возникать ажитация, спутанность сознания или депрессия.
У детей препарат может вызывать гиперактивность, раздражительность и необычное возбуждение.
Риск возникновения зависимости увеличивается при длительном лечении Фенобарбиталом в больших дозах, а также у больных с алкогольной и лекарственной зависимостью в анамнезе. Постоянный прием барбитуратов в дозах, которые в 3–4 раза превышают терапевтические, приводит к возникновению физической зависимости у 75% больных.
Если во время родов возникает необходимость в применении Фенобарбитала, необходимо обеспечить готовность оборудования для экстренной реанимации новорожденных.
Влияние на способность к управлению автотранспортом и сложными механизмами
В период лечения препаратом требуется соблюдать осторожность при выполнении работ, связанных с повышенной концентрацией внимания и скоростью реакции. Пациенты должны быть предупреждены о возможной опасности для себя и окружающих при занятиях такими видами деятельности, как управление автотранспортом, работа оператора, диспетчера, работа с движущимися механизмами и т. п
п.
Передозировка
Отравление барбитуратами — самая частая причина непреднамеренного самоубийства. В Краснодаре и других городах в больницах нередко оказываются дети, случайно употребившие лекарства с содержанием этого вещества.
Особенно опасна передозировка препарата, запитого алкоголем: последний усиливает воздействие на сердечно-сосудистую и дыхательную системы, что часто приводит к смерти. Недопустимо употребление препарата вместе с амфитамином или другим антидепрессантами — такой нагрузки ЦНС не выдерживает.
Слабое отравление
Признаки интоксикации слабой степени:
- неглубокий сон, который легко прервать;
- медленная и невнятная речь с большим количеством пауз;
- замедленная реакция на простейшие раздражители;
- нарушение координации.
В большинстве случаев зависимый остается в сознании.
Среднее отравление
Симптомы отравления средней степени:
- наркотический сон, прерываемый либо грубым физическим воздействием, либо стимулятором; при исчезновении раздражителя, зависимый снова засыпает;
- тяжелое нарушение координации — больной не может стоять на ногах;
- несвязность мыслей, нарушение речи.
В идеале больной должен оставаться в сознании для контроля его состояния.
Тяжелое отравление
Для острой интоксикации организма, приведшей к тяжелому отравлению, характерны:
- глубокий сон, не прерывающийся никакими раздражителями (включая стимуляторы);
- поверхностное дыхание, прерывистое или замедленное;
- нарушение тактильной чувствительности конечностей;
- эпилептические припадки или судороги.
Смерть наступает в результате угнетения дыхательной системы.
Барбитураты и передозировка
Превышение максимально допустимой суточной нормы приводит к передозировке. Это чревато многими негативными последствиями. Так, бывали случаи, когда человек засыпал и не просыпался. Еще одна опасность заключается в том, что во время сна наркоман может захлебнуться рвотными массами. Ведь одним из признаков передозировки является рвота.
При превышении дозы надо в первую очередь очистить от препаратов желудок. С этим может отлично справиться активированный уголь. Если дыхание постепенно замедляется, необходимо делать искусственное до тех пор, пока не приедет скорая помощь.
О передозировке может свидетельствовать липкая кожа, учащенный пульс и расширенные зрачки.
Синтез
Барбитал, который тогда назывался «Веронал», был впервые синтезирован в 1902 году немецкими химиками Эмилем Фишером и Джозефом фон Мерингом , опубликовавшими свое открытие в 1903 году. Барбитал был получен путем конденсации сложного эфира диэтилмалоновой кислоты с мочевиной в присутствии этоксида натрия или добавлением этоксида натрия. по крайней мере, два молярных эквивалента этилиодида в серебряной соли малонилмочевины (барбитуровой кислоты) или, возможно, в основном растворе кислоты. В результате получился белый кристаллический порошок без запаха, слегка горький.
Его введение последовало за исследованиями Фишера и фон Меринга фармакологических свойств некоторых открытых и закрытых ацилмочевин (тогда называемых уреидами). Руководствуясь впечатлением, что снотворное действие, по-видимому, в значительной степени зависит от присутствия этильных групп, они получили диэтилацетилмочевину, диэтилмалонилмочевину (т.е. сам Барбитал) и дипропилмалонилмочевину . Все три оказались снотворными: первый был примерно равен по силе уже известному сульфону (теперь сульфонметану ), а третий был в четыре раза сильнее , но его применение сопровождалось длительными последствиями. Веронал оказался на полпути.
Барбитал также может быть синтезирован в реакции конденсации из мочевины и диэтил-2,2-диэтилмалоната, производного диэтилмалоната :
Показания к применению
- эпилепсия;
- спазмы периферических артерий;
- гипербилирубинемия;
- спастический паралич;
- внутрипеченочный холестаз хронического типа;
- неконъюгированная негемолитическая гипербилирубинемия (врожденная);
- бессонница, приступы страха, напряжение и тревожность, возбуждение, тремор, судороги различного генеза;
- алкогольная абстиненция;
- энцефалит, вызванный различными инфекционными заболеваниями (в частности гриппом, краснухой, корью, ветряной оспой, мононуклеозом и коклюшем);
- нейровегетативные нарушения;
- фокальные приступы у взрослых и детей;
- генерализованные тонико-клонические приступы.
Фармакология
Барбитал считался большим усовершенствованием существующих снотворных. Его вкус был немного горьковатым, но лучше, чем сильный, неприятный вкус обычно используемого бромиды. У него было мало побочных эффектов, а его терапевтическая доза была намного ниже токсической. Однако длительное использование привело к появлению толерантности к препарату, требующей более высоких доз для достижения желаемого эффекта. «Я буквально пропитана этим», — русская царица. Александра Федоровна признался другу. Смертельные передозировки этого медленного снотворного не были редкостью. Летчик-первопроходец Артур Уиттен Браун (известный как «Алкок и Браун») умер от случайной передозировки.
Применение в медицинских целях
Препарат существует в нескольких фармакологических формах: ампулы, порошки и таблетки.
Первоначально барбитураты прописывались страдающим от расстройств сна. Другое распространенное применение — противосудорожное средство, облегчающее приступ у больных эпилепсией. Вещество оказывает седативное воздействие на нервную систему, расширяет сосуды, изменяя баланс калия и натрия в организме и увеличивая приток крови к мозгу и другим органам. Еще один положительный эффект употребления — легкая эйфория, что роднит барбитураты с психотропными препаратами.
Но при этом препарат быстро вызывает привыкание. Люди, пьющие снотворное на основе барбитуратов, уже через пару дней приема вообще не спят без таблеток. Для достижения эффекта приходится постоянно увеличивать дозировку, что только повышает толерантность организма к вредному воздействию. Физическую и психологическую зависимость от этого вещества оценивают как высокую и среднюю.
По своему эффекту амфетамин и барбитурат противоположны: первый успокаивает психику, тогда как последний ее возбуждает. Но это спокойствие далеко от нормального — вещество подавляет умственную активность, что приводит к деградации. Постепенно нарушается координация движений, речь становится невнятной, начинается внезапное засыпание. Негативному влиянию подвергается и психика. Избавиться от последствий употребления барбитуратов можно в клиниках Краснодара.
Виды барбитуратов
В современной фармакологии эти препараты классифицируются на группы в зависимости от длительности действия. Выделяется 3 больших разновидности:
- Препараты кратковременного действия. К ним можно отнести гексенал. Он применяется для наркоза. Раствор вводится в вену. Эффект наступает практически сразу и может длиться до получаса.
- Препараты средней продолжительности. Известным представителем этой группы можно назвать барбамил. Его используют при различных видах бессонницы и для лечения сном. Причем продолжительность сна может составлять от 6 до 8 часов. Также барбамил эффективен при атеросклерозе. Он снижает содержание холестерина и спасает от приступов стенокардии.
- Препараты длительного воздействия. Например, фенобарбитал. Медикаментозное средство, которое применяется для лечения эпилепсии и снятия судорог. Обычно препарат вводят в вену один раз. Но, если конвульсии продолжаются, то возможны и повторные приемы через каждые полчаса, пока судороги не пройдут. Однако суточная доза не должна превышать 30 мг.
Люди зависимые предпочитают употреблять средства среднего и длительного воздействия. Фенобарбитал считается мечтой наркомана. Действие препарата начинается через 15 (в редких случаях 40 минут), а эффект держится до 6, а иногда и 12 часов.
Действие барбитуратов на человека
Барбитураты оказывают успокаивающее влияние на человека. Стрессовые факторы как бы отходят на задний план, переставая беспокоить пациента. Может проявляться эйфория, возникающая после употребления лекарств, содержащих в своем составе барбитураты.
Продолжительность действия этого вещества напрямую зависит от того, с какой скоростью они будут выведены из организма. Особенно это касается производных, выводящихся непосредственно почками. Чем интенсивнее работают почки – тем быстрее организм освобождается от воздействия препарата, и наоборот.
Снотворный эффект часто зависит от того, как именно распределяются барбитураты внутри организма. Если соединения оказываются липофильны в большой степени, то вещество откладывается в жировых тканях человека. Следовательно, его количество в мозговой ткани снижается, как и воздействие на ЦНС.
История возникновения
Барбитураты синтезировали в Мюнхене в 1864 году. Химики, работающие на Адольфа фон Байера, основателя знаменитой фармацевтической компании, смешали малоновую кислоту и мочевину. Получившееся соединение временно усыпляло лабораторных мышей и останавливало у них судороги, поэтому работа над препаратом с любопытными характеристиками была продолжена.
Свое название вещество получило от сочетания слов «Барбара» (святая, в день которой открыли соединение) и «урата» (мочевина). Скоро на рынке появились производные барбитуратов: барбитал, фенобарбитал использовались как снотворные; тиопентал натрия — для усыпления животных и смертных казней; амитал натрия вошел в состав «сыворотки правды». Тогда еще никто не предполагал, что те, кому прописывают новое лекарство, скоро станут пациентами наркологии.
Постепенно сфера использования барбитуратов расширялась. Сегодня они входят в состав таких известных лекарств как «Нурофен», «Корвалол», «Пенталгин» и других средств, продающихся по доступной цене и без рецепта в Краснодаре и других городах. Одноразовое применение вещества не вызывает привыкания, но регулярное употребление даже безобидных валерьянки и пустырника может привести к тяжелой зависимости.
